Limieten: hoe werken die precies en wat kun je ermee?
Limieten gebruik je om de waarde van een grafiek op een bepaald punt te benaderen.
Wil je weten hoe je dit precies doet?
Lees dan snel dit artikel van Mr. Chadd!
Onderbroken functies
Bij sommige functies mag een grafiek een bepaalde niet hebben. Als je bijvoorbeeld een functie met een breuk erin hebt, dan mag de noemer niet gelijk zijn aan nul. Je mag namelijk niet delen door nul. Dit kun je bij de volgende functie zien:

Omdat de noemer hier niet nul mag zijn, kun je x = 3 niet invullen. Je krijgt dan het volgende:

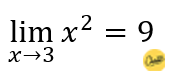
Zo’n soort functie noemen we ook wel een onderbroken functie, omdat hij niet alle mogelijke waarden van x kan aannemen. f(x) = x 2 is een voorbeeld van een ononderbroken functie: deze kan namelijk wél alle waarden van x aannemen.
Coördinaten berekenen
Er is in f(x) een bepaalde waarde die de functie niet mag hebben. Deze waarde noemen we ook wel een perforatie. Dit is eigenlijk een soort gat in de functie. Je kunt de coördinaten van een perforatie berekenen door limieten te gebruiken. Bij limieten bereken je wat er gebeurt als f(x) heel dichtbij een perforatie zit. Hieronder volgt een voorbeeld om te laten zien hoe je met limieten kunt werken.

Voorbeeld
We weten dat de functie f(x) nooit x = 3 kan worden. Nu willen we erachter komen welke y-waarde hierbij hoort, maar omdat we niet mogen delen door nul, kunnen we deze niet direct invullen. Je schrijft deze som op de volgende manier op:

Hierbij is a de x-waarde die je wil benaderen en b de y-waarde die hierbij hoort. Voor f(x) krijgen we dan het volgende:

We kunnen dit uitrekenen door de teller te ontbinden in factoren:

Nu kun je x – 3 in de teller en in de noemer tegen elkaar wegstrepen.

Omdat je bij de functie f(x) = x2 wel het getal x = 3 kunt invullen, kunnen we nu berekenen wat de y-coördinaat is van de perforatie. De coördinaten van de perforatie zijn dus (3, 9).
Even oefenen!
Bereken het limiet in de volgende opdrachten:


Leerlingen die hier vragen over hebben, keken ook naar:
Werkt u in het vo of mbo? Plan direct een vrijblijvende demonstratie in!
We laten u graag geheel vrijblijvend zien hoe Mr. Chadd werkt, hoe het kan worden ingezet en wat de meerwaarde is. Dit doen we in een fysieke of online afspraak van zo'n 30 minuten. Let op! Deze demonstratie is alleen bedoeld voor mensen die werkzaam zijn in het vo of mbo, NIET voor leerlingen!
Meer informatie over Mr. Chadd
Laat hieronder uw gegevens achter en we sturen u geheel vrijblijvend meer informatie over Mr. Chadd op!
Werkt u in het vo of mbo? Neem contact op!
Bent u benieuwd naar de voordelen van Mr. Chadd of heeft u andere vragen? Laat uw gegevens achter en wij nemen zo snel mogelijk contact op.
